Applications are now opened for the University of Hawai‘i Graduate Degree Fellowship to study in the United States of America. The East-West Center Graduate Degree Fellowship is made initially for twelve months but may be renewed for an additional year, subject to funding availability, and timely and satisfactory progress toward completion of the degree and fulfillment of East-West Center requirements. The total award length may be less than 24 months, depending on the academic status of the student at the time the award is given and the time necessary to complete degree requirements.
All Graduate Degree Fellowship applicants are also considered for EWCA Alumni and Foundation scholarships. These awards are funded through privately-endowed scholarships from the East-West Center Foundation and may supplement a Graduate Degree Fellowship. EWC Alumni and Foundation Scholarships have been established to assist East-West Center students. The Center may be able to make available a limited amount of supplemental scholarship support to Graduate Degree Fellowship finalists with financial needs on a case-by-case basis.
Recipients of these university scholarships are required to live in EWC housing and to participate in the EWC community. The average amount of the scholarship is $9,000, which a student can use to pay for housing, tuition, books, or living expenses. Foundation scholarship recipients are responsible for paying for tuition (at the discounted resident rate for EWC scholarship recipients), all housing costs, and living expenses. Subject to funding availability, funding for field study, and conference presentations, Travel Grants are offered to degree fellows on a competitive basis during their study period.
Founded in 1907, the University of Hawai‘i at Mānoa (UHM) is the flagship campus of the state university system that is located in Mānoa Valley, close to the center of metropolitan Honolulu. It is a comprehensive research university offering bachelor’s degrees in 100 fields of study, master’s degrees in 87, and professional and doctoral degrees in 59 fields. It enrolls about 19,000 full-time students each semester, of whom more than 5,000 are graduate students. UHM and the EWC are separate organizations but maintain close institutional ties through a variety of programs, such as the Graduate Degree Fellowship. All references in this handbook to the University of Hawai‘i refer to the Mānoa campus.
Program Details
- Host Institution: University of Hawai‘i in the United States of America.
- Study field: Available programs at host universities.
- Duration: Not specified.
- Number of Awards: Not specified.
- Target group: Please find the full list below..
University of Hawai‘i Graduate Degree Fellowship Benefits
Selected candidates will enjoy a fully funded scholarship that provides the following benefits:
- Full-time graduate tuition and fees up to the equivalent of the general tuition charged for post-baccalaureate students at the University of Hawaii at Manoa toward master’s or doctoral studies;
- Housing in an East-West Center residence hall, based on single occupancy. Fellows with no accompanying dependents below 18 years of age are required to reside in Center dormitories. Individuals with minor dependent children cannot be accommodated in on-campus facilities and must reside off-campus;
- A stipend to partially cover food and incidental expenses;
- An allowance for books, materials, and supplies; and
- Subsidy toward health insurance coverage.
Note : All provisions above are subject to change. Subject to funding availability, funding for field study and conference presentations are offered to degree fellows on a competitive basis during their study period.
Also Check : Government of the Czech Republic Scholarships
Eligible Countries
Individuals who are citizens or permanent residents of the countries listed below may apply for the East-West Center Graduate Degree Fellowship: United States, Pacific Region (American Samoa, Australia, Cook Islands, Federated States of Micronesia, Fiji, French Polynesia, Guam, Kiribati, Marshall Islands, Nauru, New Caledonia, New Zealand, Niue, Northern Marianas, Palau, Papua New Guinea, Samoa, Solomon Islands, Tokelau, Tonga, Tuvalu, Vanuatu, Wallis & Futuna Islands)
Southeast Asia (Brunei, Cambodia, Indonesia, Laos, Malaysia, Myanmar, Philippines, Singapore, Thailand, Timor-Leste, Vietnam), South Asia (Afghanistan, Bangladesh, Bhutan, India, Iran, Maldives, Nepal, Pakistan, Sri Lanka), East Asia (China, Hong Kong, Japan, Macau, Mongolia, North Korea, South Korea, Russia, Taiwan).
University of Hawai‘i Graduate Degree Fellowship Eligibility
Before the start of the award, applicants for graduate programs must have obtained a 4-year bachelor’s degree or its equivalent from an accredited U.S. college or university, or from a recognized institution of higher learning abroad. Generally, an applicant must have a minimum grade point average of 3.0 (4.0=A scale) or the equivalent, in the last four semesters or six quarters of the undergraduate record and in all post-baccalaureate work.
Similar opportunities
- Singapore International Graduate Award;
- Singapore University of Technology and Design Scholarships;
- Pan African University Scholarships for Youths.
How to Apply for the University of Hawai‘i Graduate Degree Fellowship
Those who whish to apply for this North America scholarship should click on the apply button below and follow instructions to submit their applications. Before submitting your application, you should check the following steps:
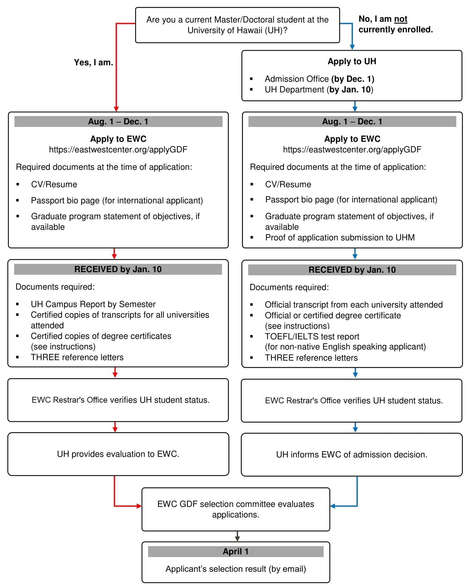
- Determine your eligibility and ensure you understand program requirements. You must be admitted to the University of Hawaii graduate degree program to be eligible for the Fellowship.
- If you are not yet enrolled in a graduate degree program, visit the University of Hawai‘i website and follow the instructions there to apply for your chosen field of graduate study. You must apply directly to the University by December 1, and provide proof of your application submission to EWC. Your application to the admissions office and academic program must be complete by January 10.
- If you are an international student who must provide proof of English proficiency to the University of Hawai‘i, make arrangements to take TOEFL or IELTS and have scores reported to the East-West Center. See the Application Handbook for further details on how to send scores.
- Identify three individuals to provide a letter of reference. Two individuals should comment on your academic and long term objectives (click here to download the academic letter of reference form) while the third should comment on your involvement with community service projects, civic engagement or extracurricular activities (click here to download the civic engagement letter of reference form).
You must submit your Fellowship application by the deadline and should have the following documents on hand to upload to your online application:
- Proof of UH application submission (Application Acknowledgement receipt) for prospective students applying for admission.
- University of Hawai‘i statement of objectives (refer to the academic program for instructions); not applicable for current UH students who are continuing in their same degree and field.
- Curriculum vitae.
- Copy of passport biodata page if available (for international applicants).
- If applying for the Obuchi Student Scholarship, please submit a photocopy of permanent domicile in Okinawa or a certificate of residence for Okinawa, to show your eligibility to apply for the Obuchi Student Scholarship.
Please find below, the Diagram of the Application Process for EWC and UH.
The deadline to submit applications is . For more details on the University of Hawai‘i Graduate Degree Fellowship, please visit the official page. To be the first to see latest opportunities, please follow us on Facebook, Twitter, Pinterest and Instagram.


I want to study